St_Hakky’s blog

Data Science / Human Resources / Web Applicationについて書きます

2016-12-10から1日間の記事一覧

KEGGをRから使って可視化までさせてみる - KEGGgraph

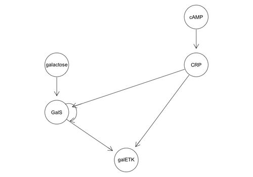
今研究関係の論文を読んでいるんですが、KEGGとか色々出てきていてそういえば一度もまとめたことがないなぁということで、まとめます。 ○KEGGとは KEGGは、端的にいうとバイオインフォマティクス研究用のデータベースです。 KEGG(Kyoto Encyclopedia of Gen…